掃碼關注微信公眾號
掃碼下載APP
作者:管理員 來源:鑫匯寶2020-06-08 【字體:大中小】
【行情回顧】
上周市場,在市場預期經濟複蘇的打壓下,風險情緒全麵向好,全球股市表現回暖,黃金價格上周開盤後全線下跌,周初最高升至1745之後,多頭即一蹶不振,空頭步步下壓。而在上周五,美國非農就業指標意外向好,令金價跌幅更大,最低逼近1670一線,尾盤小幅反彈修複,周線以大陰線報收,且呈吞沒形態。今日亞盤時段,倫敦金短線繼續修複上周暴跌行情,目前徘徊在1690上下。
【基本面解析】
越來越多的跡象顯示,受疫情打擊的全球經濟正在複蘇。標普500指數和道瓊斯工業指數上周分別大漲4.9%和6.81%,創3月5日以來新高,目前較各自的紀錄收盤高位僅低5.7%和8.3%。美國納斯達克指數更是再次創下了曆史記錄新高,暗示新冠疫情對美國股市的負麵影響已經基本完全退去。全球逐步複工複產,提振了經濟複蘇的預期,全球風險偏好升溫,歐美股市全線大漲創數月新高,避險需求顯著降溫,黃金和美元的避險需求同步減弱,及時美元大跌,金價也震蕩下跌,回落至1700關口下方。
美國總統特朗普周五表示,美國已經生產了200萬劑冠狀病毒疫苗,一旦科學家確定疫苗是否安全有效,這些疫苗就“準備就緒”。據《紐約時報》周三報道,特朗普政府選擇了五家最有可能生產疫苗的公司。這五家公司分別為位於馬薩諸塞州的生物技術公司Moderna、牛津大學(OxfordUniversity)和阿斯利康(AstraZeneca)的聯合、以及三大製藥公司強生(Johnson&Johnson)、默克(Merck)和輝瑞(Pfizer)。
根據CNBC的消息,今天美國政府已經決定取消之前關於禁止中國民航公司飛往美國的命令。但新規定限製中國航空公司每周隻能有兩個飛往美國的航班班次。美國交通部對此的解釋是,“恢復中美航空公司在定期客運服務市場上的競爭平衡和公平平等的機會”。既然昨天中國民航局規定外國航空公司飛往中國的航線每周最多不超過兩班,那美國也就對等的發布了類似的規定。
不過無論如何,中美雙方算是暫時解決了航線爭端的問題,對於航空公司肯定是帶來了直接的利益,更重要的是這也緩解了近期的中美關係緊張局勢,在一定程度上會有利於金融市場的風險情緒。
上周出爐的美國5月非農就業崗位意外增加,4月錄得紀錄降幅,強化了市場對全球經濟複蘇的信心,投資者認為新冠疫情引發的低迷可能已經過去,黃金的避險配置需求進一步下降,對金價打壓明顯。美國勞工部周五發布的就業報告顯示,非農就業崗位繼4月創紀錄驟降2,070萬個後,5月增加250萬個,遠好於市場預期的下降750萬人;失業率意外將至13.3%,即好於市場預期的19.1%,也好於4月的14.7%。
另一方麵,全球最大的上市黃金交易基金SPDR黃金ETF近期結束此前連續增持態勢,上周五該機構減持4.1噸,目前該機構持倉量為1128.11噸。
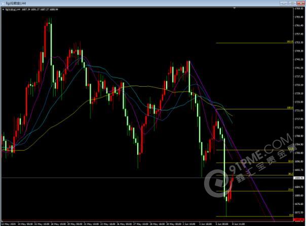
【技術麵分析】
周線圖上看,繼前兩周以探底回升的吊頸線報收過後,行情短線出現反彈,不過上周開盤後全線下挫,以大陰線破低點報收,說明反彈的乏力以及上方存在較大的拋壓。上周大陰線呈現吞沒形態,尾盤反彈力度較弱,預示短期內存在進一步下調的空間。日線上看,MACD指標在高位形成頂背離過後,雙線死叉向下發散,綠色量能柱擴大,說明下跌力度有所增強。操作上建議逢高沽空。

【具體投資思路】
倫敦金:1700做空,止損1706,目標位1680。
倫敦銀:17.700做空,止損17.860,目標位17.360。
分析僅供參考,下單前請先評估風險!
本文版權為鑫匯寶貴金屬有限公司所有,未經授權,不得轉載。已經屬本公司書面授權用戶,在使用時必須註明“來源:鑫匯寶”。未經授權刊登或者轉載本文的,本公司將保留向其追究法律責任的權利。
免責聲明:此消息為鑫匯寶原創或轉自合作媒體,登載此文出於傳遞更多信息之目的,並不意味著贊同其觀點或證實其描述,請自行核實相關內容。文章內容僅供參考,不構成倫敦金投資建議。